前沿研究分享 | ADHD儿童情绪调节的非药物辅助治疗手段
本研究探讨了经颅直流电刺激(tDCS)对注意缺陷多动障碍(ADHD)儿童在情绪Go/No-Go和情绪1-back任务中的表现影响。研究采用随机顺序的tDCS,包括阳极背外侧前额叶皮层(dlPFC)/阴极腹内侧前额叶皮层(vmPFC),阴极dlPFC/阳极vmPFC,以及假刺激。结果显示,与假刺激相比,两种真实刺激均提高了情感冲动抑制能力和情感工作记忆准确性。研究还发现,tDCS对儿童是安全的,没有引起显著的副作用。
| 论文概览 |
文章名称:
Transcranial direct current stimulation (tDCS) improves emotion regulation in children with attention-defcit hyperactivity disorder (ADHD)
经颅直流电刺激(tDCS)改善注意缺陷多动障碍(ADHD)儿童的情绪调节
关键词:
Transcranial direct current stimulation (tDCS), Emotion regulation, Children with attentiondefcit hyperactivity disorder (ADHD)
经颅直流电刺激(tDCS),情绪调节,注意缺陷多动障碍(ADHD)儿童
作者:Reza Estaji , Mariam Hosseinzadeh , FaribaArabgol & Vahid Nejati
发表时间:2024年6月17日
DOI:10.1038/s41598-024-64886-9.
01
#引言#
ADHD是儿童中常见的神经发育障碍之一,其核心症状包括注意力不集中、过度活跃和冲动行为,且有研究表明情绪失调是ADHD的重要特征之一,对个体的社会功能和生活质量产生了深远影响。
情感冲动抑制指的是个体在面临强烈情感或冲动时,能够控制自己的情绪反应和冲动行为的能力。这种抑制能力对于个体的情绪调节和社会功能至关重要。缺乏这种能力可能会导致冲动行为、情绪失控等问题,特别是在ADHD或情绪失调个体中表现得尤为突出。
情感工作记忆是思维和心智的一种基本机制,这种记忆形式允许我们将情感牢记于心,从而使情感能够影响我们的思想、决策和行动。
经颅直流电刺激(tDCS)作为一种非侵入性脑刺激技术,通过改变大脑皮层的兴奋性来调节认知功能,为ADHD的治疗提供了新的思路。
然而,目前关于tDCS在ADHD治疗中的研究仍处于初步阶段,其疗效和作用机制尚不完全清楚,且不同研究的结果存在一定差异。因此,该领域的研究瓶颈在于如何优化刺激参数、提高疗效的稳定性和持久性,以及深入探索tDCS改善ADHD症状的神经机制。
02
# 方法 #
这篇文章主要研究了经颅直流电刺激(tDCS)对注意力缺陷多动障碍(ADHD)儿童情感冲动抑制和情感工作记忆的影响。
研究者提出了研究问题,即tDCS是否能够改善ADHD儿童在情感任务中的表现?他们选择了适当的研究方法,包括使用单盲、完全交叉设计,并让所有参与者作为自己的对照,以增强统计功效。
研究中使用了三种不同的tDCS方案:
1 阳极刺激左侧背外侧前额叶皮质(dlPFC)和阴极刺激右侧腹内侧前额叶皮质(vmPFC)
2 阳极刺激右侧腹内侧前额叶皮质(vmPFC)和阴极刺激左侧背外侧前额叶皮质(dlPFC)
3 假刺激(对照组)。各组刺激均持续20分钟,参与者在刺激开始后五分钟内完成情感Go/No-Go和情感1-back任务,该范式旨在测量ADHD儿童的情感冲动抑制和情感工作记忆。任务结束后,研究者收集了他们的任务表现数据

对照组示意图
03
#结果#
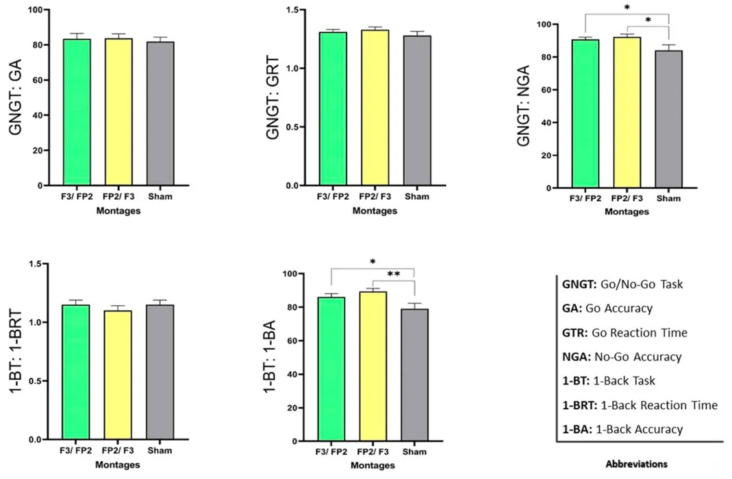
从情感Go/No-Go任务结果中分析可得:
两刺激条件下的NO-GO反应准确性显著高于假刺激条件;而GO反应的准确性和反应时间在两条件下没有显著差异。
这说明与假刺激相比,阳极背外侧前额叶(dlPFC)/阴极腹内侧前额叶(vmPFC)刺激和反转电极位置的刺激显著提高了抑制能力。
从情感1-back任务结果中分析可得:
两种刺激条件下,ADHD儿童对情感1-back任务的准确性均显著高于假刺激。
这说明与假刺激相比,阳极背外侧前额叶(dlPFC)/阴极腹内侧前额叶(vmPFC)刺激和反转电极位置的刺激显著改善了情感工作记忆。

实验结果
总的来说,tDCS能够显著改善ADHD儿童在情感预冲动抑制和情感工作记忆方面的表现,这可能与提高左侧dlPFC的兴奋性以及抑制右侧vmPFC的过度活动有关,且与参与者在ADHD严重程度、情绪调节和执行功能评分上的基线表现无关。这一发现为ADHD的非药物治疗提供了新的视角。
04
#讨论#
本研究的创新之处在于将tDCS应用于ADHD儿童,并特别关注其对情绪任务表现的影响。以往的研究多集中在tDCS对ADHD儿童一般认知功能的改善,而本文则进一步探讨了tDCS对情绪调节和工作记忆的潜在影响,为理解tDCS在情绪认知领域的应用提供了新的视角。此外,研究采用了情绪性的Go/No-Go和1-back任务,这些任务设计能够更好地模拟现实生活中的情绪认知挑战。
Estaji, R., Hosseinzadeh, M., Arabgol, F., & Nejati, V. (2024). Transcranial direct current stimulation (tDCS) improves emotion regulation in children with attention-deficit hyperactivity disorder (ADHD). Scientific Reports, 14(1), 13889.
Frank, C. C., Iordan, A. D., & Reuter-Lorenz, P. A. (2023). Biden or Trump? Working memory for emotion predicts the ability to forecast future feelings. Emotion. Advance online publication. https://doi.org/10.1037/emo0001258.